0
Skip to Content
LANGUAGE
CHINESE
SPANISH
HOME
ABOUT US
RESOURCES
REGISTER
FAQ
Client FAQ
Vendor FAQ
DDS SDP FAQ
LOG IN
Open Menu
Close Menu
LANGUAGE
CHINESE
SPANISH
HOME
ABOUT US
RESOURCES
REGISTER
FAQ
Client FAQ
Vendor FAQ
DDS SDP FAQ
LOG IN
Open Menu
Close Menu
Folder:
LANGUAGE
Back
CHINESE
SPANISH
HOME
ABOUT US
RESOURCES
REGISTER
Folder:
FAQ
Back
Client FAQ
Vendor FAQ
DDS SDP FAQ
LOG IN
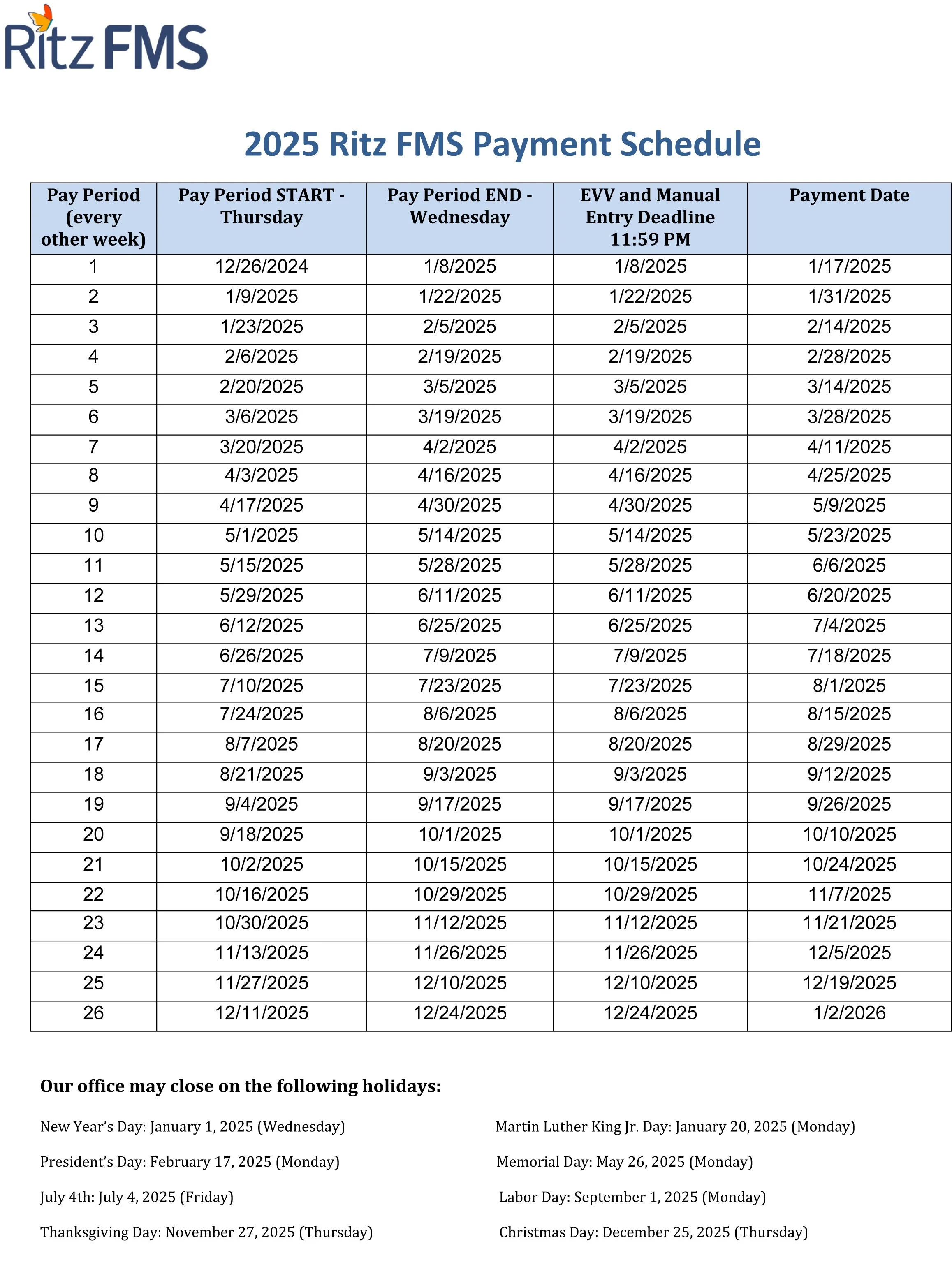
DOWNLOAD PDF